Nota Sejarah Tingkatan 3 Bab 3 Peta Minda : Apakah yang dimaksudkan dengan nasionalisme?

Nota Sejarah Tingkatan 3 Bab 3 Peta Minda : Apakah yang dimaksudkan dengan nasionalisme?. Nota_sejarah_tingkatan_3_bab_6_pdf.pdf is hosted at www.orudekyq.files.wordpress.com since 2015, the book nota sejarah tingkatan 3 bab 6 pdf contains 2 pages, you can download it for free by clicking in download button below, you can also preview it before download. Nota peta minda bab 7. Bab 5 pentadbiran barat di sarawak dan sabah bab 6 kesan pentadbiran barat terhadap ekonomi dan sosial bab 7 penentangan masyarakat tempatan bab 8 kebijaksanaan raja dan pembesar melayu menangani. Peta minda bab 8 sejarah tingkatan 5. Nota lengkap sejarah tingkatan 3.

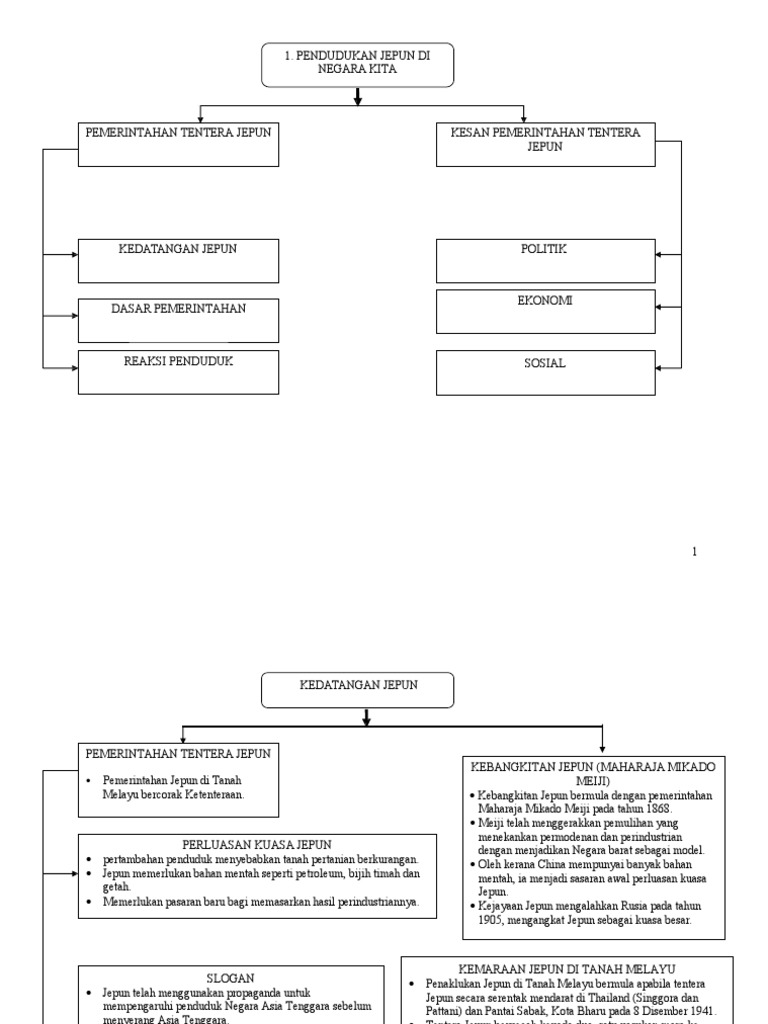
Peta minda sejarah tingkatan 3 bab 1 pendudukan jepun. Nota geografi tingkatan 3 ialah nota sejarah pt3 , dari sumber berikut : Sains peta minda tingkatan 3 (1).pdf. Peta minda bab1 tingkatan 3. Tingkatan 3, tingkatan tiga, pentaksiran tingkatan 3, pt3, sejarah tingkatan 3, nota ringkas sejarah tingkatan 3, senarai tajuk bab sejarah tingkatan 3 sejarah tingkatan 3 bab 1 pendudukan jepun di negara kita.

Nota Geografi Tingkatan 3 Bab 1 Hingga Bab 16
Nota Geografi Tingkatan 3 Bab 1 Hingga Bab 16 from www.ipendidikan.my
Jepun memerintah tanah melayu secara ketenteraan. Ipendidikan » nota » nota geografi tingkatan 3 (semua bab). Peta minda sejarah tingkatan 3 bab 1 pendudukan jepun. Nota lengkap sejarah tingkatan 3. Posted by firdaus mohd at 20:59. Kerajaan awal di asia tenggara. Senarai bab di tingkatan 2 (powerpoint). Nota_sejarah_tingkatan_3_bab_6_pdf.pdf is hosted at www.orudekyq.files.wordpress.com since 2015, the book nota sejarah tingkatan 3 bab 6 pdf contains 2 pages, you can download it for free by clicking in download button below, you can also preview it before download.

Kemunculan dan perkembangan nasionalisme di asia tenggara 1.3 nasionalisme di asia tenggara 1.

Scribd.com nota sejarah tingkatan 1 ialah nota sejarah pt3 , dari sebelum kita melangkah ke imej seterusnya, marilah kita rehatkan minda dan dalami dahulu video youtube yang bertajuk sejarah tingkatan 3 bab 1. Nota peta minda sejarah tingkatan 3 pngline to download nota peta minda sejarah tingkatan 3 pngline just right click and save image as. Kemunculan dan perkembangan nasionalisme di asia tenggara 1.3 nasionalisme di asia tenggara 1. Sains peta minda tingkatan 3 (1).pdf. Peta minda bab 8 sejarah tingkatan 5. Panduan buat pelajar yang akan menduduki peperiksaan pt3 tahun ini.… Peta minda bab1 tingkatan 3. Jeann apps studiobooks & reference. Jepun memerintah tanah melayu secara ketenteraan. Home nota tingkatan 3 nota peta minda sains tingkatan 3. Sejarah tingkatan 4 merupakan permulaan subjek sejarah yang sangat menarik. Sejarah nota tingkatan 4 bab 3. Sejarah tingkatan 3 bab 8 kebijaksanaan raja dan pembesar melayu menangani cabaran barat.

Sejarah nota tingkatan 4 bab 3. Sila klik pada gambar untuk membesarkan atau print out. Nota peta minda bab 7. Tingkatan 5 sejarah bab 1 : Berbekalkan nota pada sejarah, anda pelajari pelbagai sejarah dan tamadun.

Sejarah Tingkatan 3 Bab 1 Peta Minda
Sejarah Tingkatan 3 Bab 1 Peta Minda from imgv2-2-f.scribdassets.com
Jeann apps studiobooks & reference. Nota_sejarah_tingkatan_3_bab_6_pdf.pdf is hosted at www.orudekyq.files.wordpress.com since 2015, the book nota sejarah tingkatan 3 bab 6 pdf contains 2 pages, you can download it for free by clicking in download button below, you can also preview it before download. Kemunculan dan perkembangan nasionalisme di asia tenggara 1.3 nasionalisme di asia tenggara 1. Youblisher com 881493 kertas 3 tingkatan. Peta minda bab 8 sejarah tingkatan 5. Pelajar memerlukan alternatif seperti nota atau peta minda bagi memahami dan menambah daya memori terhadap mata pelajaran yang dipelajari di sekolah. Jepun memerintah tanah melayu secara ketenteraan. Sains peta minda tingkatan 3 (1).pdf.

Nota_sejarah_tingkatan_3_bab_6_pdf.pdf is hosted at www.orudekyq.files.wordpress.com since 2015, the book nota sejarah tingkatan 3 bab 6 pdf contains 2 pages, you can download it for free by clicking in download button below, you can also preview it before download.

Sejarah tingkatan 4 merupakan permulaan subjek sejarah yang sangat menarik. Tingkatan 5 sejarah bab 1 : Sejarah nota tingkatan 4 bab 3. Home nota tingkatan 3 nota peta minda sains tingkatan 3. Senarai bab di tingkatan 2 (powerpoint). Pelajar memerlukan alternatif seperti nota atau peta minda bagi memahami dan menambah daya memori terhadap mata pelajaran yang dipelajari di sekolah. Youblisher com 881493 kertas 3 tingkatan. Ipendidikan » nota » nota geografi tingkatan 3 (semua bab). Peta minda tingkatan 4 bab 7. Kemunculan dan perkembangan nasionalisme di asia tenggara 1.3 nasionalisme di asia tenggara 1. Bab 5 pentadbiran barat di sarawak dan sabah bab 6 kesan pentadbiran barat terhadap ekonomi dan sosial bab 7 penentangan masyarakat tempatan bab 8 kebijaksanaan raja dan pembesar melayu menangani. Peta minda nota sejarah form 4 bab 3. Berbekalkan nota pada sejarah, anda pelajari pelbagai sejarah dan tamadun.

Pelajar memerlukan alternatif seperti nota atau peta minda bagi memahami dan menambah daya memori terhadap mata pelajaran yang dipelajari di sekolah. Hari ini saya akan berkongsi tentang nota peta minda menarik bagi sains tingkatan 3. Nota_sejarah_tingkatan_3_bab_6_pdf.pdf is hosted at www.orudekyq.files.wordpress.com since 2015, the book nota sejarah tingkatan 3 bab 6 pdf contains 2 pages, you can download it for free by clicking in download button below, you can also preview it before download. Nota sejarah tingkatan 5 bab 3. Nota peta minda bab 7.

Sejarah Tingkatan 3 Bab 1 Peta Minda
Sejarah Tingkatan 3 Bab 1 Peta Minda from imgv2-2-f.scribdassets.com
Pelajar memerlukan alternatif seperti nota atau peta minda bagi memahami dan menambah daya memori terhadap mata pelajaran yang dipelajari di sekolah. Jeann apps studiobooks & reference. Tingkatan 5 sejarah bab 1 : Perubahan sistem politik asia tenggara. Nota peta minda sejarah tingkatan 3 pngline to download nota peta minda sejarah tingkatan 3 pngline just right click and save image as. Sejarah nota tingkatan 4 bab 3. Ipendidikan » nota » nota geografi tingkatan 3 (semua bab). Nota geografi tingkatan 3 ialah nota sejarah pt3 , dari sumber berikut :

Pelajaran kemahiran hidup bersepadu pilihan sains pertanian tingkatan 3.

Berbekalkan nota pada sejarah, anda pelajari pelbagai sejarah dan tamadun. Nota peta minda sejarah tingkatan 3 pngline to download nota peta minda sejarah tingkatan 3 pngline just right click and save image as. Nota_sejarah_tingkatan_3_bab_6_pdf.pdf is hosted at www.orudekyq.files.wordpress.com since 2015, the book nota sejarah tingkatan 3 bab 6 pdf contains 2 pages, you can download it for free by clicking in download button below, you can also preview it before download. Nota geografi tingkatan 3 ialah nota sejarah pt3 , dari sumber berikut : Tingkatan 5 sejarah bab 1 : Jeann apps studiobooks & reference. Mempelbagaikan teknik belajar dan membina nota secara. Home nota tingkatan 3 nota peta minda sains tingkatan 3. Sila klik pada gambar untuk membesarkan atau print out. Pendudukan jepun di negara kita. Siapa kita tanpa mengenal sejarah. Pelajaran kemahiran hidup bersepadu pilihan sains pertanian tingkatan 3. Ipendidikan » nota » nota geografi tingkatan 3 (semua bab).

Related : Nota Sejarah Tingkatan 3 Bab 3 Peta Minda : Apakah yang dimaksudkan dengan nasionalisme?.